
Sucralose made from sugar is 600 times sweeter than sugar with
the characteristics of excellent taste, high food safty and
processing stability.
Now a wide variety of foods and beverages can benefit from the
natural sweetness of sucralose. To meet the various requirements of
consumers' individual dietary habits such as reduced calorie intake
and a healthy diet, the food and beverage industry wants a
non-calorie sweetener with superior heat resistance and stability.
Sucralose, the only non-calorie sweetener made from sugar, meets
these needs.
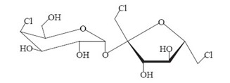
Chemical Name
1',6'–Dichloro-1',
6'–dideoxy–ß–D-fructofuranosyl–4–chloro–4–deoxy–a–D–galactopyranoside
Synonyms
TGS; 4, 1', 6' – Trichlorogalactosucrose;
Trichlorogalactosucrose
CAS No. : [56038-13-2]
Molecular Formula : C12H19O8Cl3
Because it is made from sugar. Additionally, Sucralose has a rounded sweetness very close to that of sugar, with almost no bitterness or astringency.
Sucralose is about 600 times as sweet as sugar, although its intensity does fluctuate depending on the type of food to which it is applied.
Sucralose shows excellent stability in both
powder and aqueous form. It is especially stable in aqueous solution
at pH 7.0 or under. Its high stability in long shelf life foods has
been confirmed. It remains stable under high-temperature processing
conditions such as retort sterilization. The excellent stability of
Sucralose makes it the sweetener of choice for a wide range of foods
and manufacturing processes.
The natural sugar-like sweetness of Sucralose can be used to make
rich, tasty sausages, drawing out the meatiness and accentuating
herbal and spicy flavors. As Sucralose is a high intensity
sweeteness, very small levels of addition are necessary in order to
benefit from its advantages. Additionally, both resistant to heat in
acidic to neutral conditions and stable throughout prolonged
storage, Sucralose will not be broken down or deteriorate in quality
from heat sterilization during the production process.

JK Sucralose Inc. is the largest sucralose manufacturer in China
and the second largest one in the world, with a long-term annual
capacity of 4000 tons, with sales and marketing headquarters in
Beijing.
JK Sucralose Inc is the first company that voluntarily joined the
American ITC Intellectual Property Rights investigation which
affirmed that JK product does not infringe. JK Sucralose Inc. is the
first company that passed the Chinese Commodity Bureau criteria and
have been registered, as well as being the major company involved in
the preparation of the Chinese Sucralose standards.
JK Sucralose Inc. has applied 8 processing patents in China and 4
processing patents internationally. JK Sucralose Inc. has always and
will continuously ensure the high quality and consistency of our
products. Our manufacturing facilities are ISO9001:2000, ISO14001O,
HSAS18000, HACCP and Sedex certified and operated according to the
Good manufacturer Procedure (GMP). Our sucralose is Badatz Kosher
and MUIHALAL certified and strictly complies with the FCC VI, USP32
and 2008/60/EC standards.